Multivariate Linear Regression: Concepts and Implementation
Comprehensive guide to multivariate linear regression, covering multiple input features, model formulation, assumptions, cost function, gradient descent optimization, and evaluation techniques.
Introduction to MatLab:
MatLab is the Language of Mathematical Computation
Multi Variant Linear Regression
####Linear regression with multiple variables is also known as "multivariate linear regression".
Suppose y is function of multiple variables x then
Xcolumn(row) : X(i, j)
- m = number of training example
- n = number of feature in training example
- x(i) = ith row in training example/ feature in example
- xj(i) = ith row , jth column in training example
Linear Regression for Hypothesis for n features :
hΘ(x) = Θ0X0 +Θ1X1 +Θ1 X2+ Θ1 X3+ ...ΘnXn
Assume X0= 1 for convenience
hΘ(x) = Θ0X0 +Θ1X1 +Θ1 X2+ Θ1 X3+ ...ΘnXn
hΘ(x) = ΘTX
Inner Product of RowVector0(1n) Column VectorX(n1) = Scalar()11 Hypothesis
Notes:
- ΘT is a 1 by (n+1) matrix and not an (n+1) by 1 matrix
- x0(i) =1 for matrix multiplication
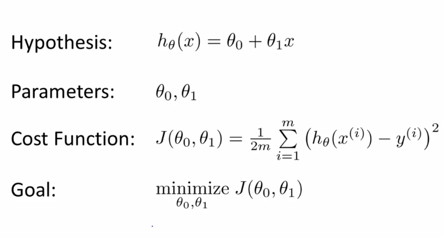
Simple Linear Regression
Cost function:

J(Theta0, Theta1) = 1/2m(Sum((predicted-actual)**2))
= 1/2m(Sum((h(xi)-y(i))**2))
= 1/2number of dataSet(Sum of Deviation from actual)**Squared to remove negative
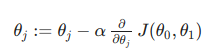
Gradient Descent:
Steps:
-
For feature index j= 0,1, repeat until convergence

-
Simultaneous compute Theta(0), Theta (1) and store in temp values
-
Simultaneous Update Theta(0), Theta (1)
Multi variant Linear Regression
Cost Function
J(Theta0, Theta1, Theta.....Thetam) = 1/2m(Sum((predicted-actual)**2))
= 1/2m(Sum((h(xi)-y(i))**2))
= 1/2number of dataSet(Sum of Deviation from actual)**Squared to remove negative
J(Theta) = 1/2m(Sum((predicted-actual)**2))

Gradient Descent:
Steps:
-
For feature index j= 0,1,....n repeat until convergence

-
Simultaneous compute Theta(0), Theta (1), .... Theta (n) and store in temp values
-
Simultaneous Update Theta(0), Theta (1) .... Theta (n)
Feature scaling
Make sure feature are on same scale other wise contour will be skew elliptical(2000/5). Gradient descent on skew Eclipse take long time to reach local minima
xi = (xi--min(X))/(max(X)-min(X))
- Try to get feature into -1<= xi<= 1. Long gape will not fully scaled. Idellay should be withing range -3 to +3.
Feature scaling is way to avoid creating skew ellipse:

Mean Normalization
Use mean and max range to normalize x values
xi = (xi-Avg(X))/(max(X)-min(X))

xi = (xi-Avg(X))/(max(X)-min(X))
Debugging gradient descent using Learning Rate
plot the cost function, J(θ) over the number of iterations of gradient descent. If J(θ) ever increases, then you probably need to decrease α.
-
If α is too small: slow convergence.
-
If α is too large: may not decrease on every iteration and thus may not converge.

Polynomial Regression
Sometimes by defining a new feature you might get a better Model that requires less computation
for example house price can defined by calculating area instead of creating 2 variable equation we can define one variable equation :

- Sometimes prediction fits Polynomial equation instead of linear equation
- Scaling of feature becomes crucial in Polynomial Regression
- Some algo can choose feature to fit polynomial curves


